《原神》中伤害流量与伤害场,意在解释输出与时间、空间之间的关系,那么伤害流量与伤害场有什么样的特性呢?现在为大家带来“饕餮居士”分享的《原神》伤害场与伤害流量探究,希望对大家有所帮助。
定义伤害场:伤害范围。伤害场:
根据时间分为瞬时伤害场、持续伤害场;
根据空间分为单点伤害场、面型伤害场、体型伤害场。
伤害流量,即伤害场中的单位输出。
以下公式可跳过:
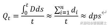
对于任意角色,若将时间伤害流量定义为Qt,空间伤害流量定义为Qs,D为伤害函数,则(emmm手滑了,ds应该是dt才对):

仆夫悲余马怀兮,蜷局顾而不行。
可以得出,时间伤害流量Qt(输出倍率)在绝大多数情况下与单位时间平均输出(dps)可以相等,但是对于部分角色的部分技能(如凝光)该式还需要乘上系数,即怪物总数。可以使用输出倍率来与之映射。该量已经被很多大佬分析。

通过该式子可以看出,空间伤害流量Qs(输出空间)与伤害范围、伤害量有关。值得注意的是,di代表的仅仅是单个怪物受到的伤害(求和即总伤害),通过单个怪物受到的伤害推出伤害流量。
高暴击:即让输出分布集中化,方差减小,输出更加稳定。
高爆伤:即让极值增大的同时方差增大,有概率进行极高额输出。
取值A:90%暴击,100%爆伤(即200%伤害)
取值B:50%暴击,180%爆伤(即280%伤害),进行5次与100次等效输出拟合。
下图是5次输出拟合的情况,可以发现,平均值相同的情况下,当输出次数不多的时候,堆爆伤有50%的概率其总体输出会大于堆暴击,即达成“凹到极限输出”,譬如有3%的概率凹出140%的堆暴击伤害,在这里,是将时间瞬时伤害流量发挥到极致,实际上是牺牲了流量产生的概率进行输出。更有甚者可以详情“单段伤害”。

下图是100次拟合情况,可以发现,尽管平均值一样,但暴击比爆伤稳定很多。高暴击率能积分到2.0,高爆伤能积分到2.8。稳定则代表数字的均一化。

然而,不同的角色就算所有数值的乘积趋于相同,其真实的输出值以及输出效率也可能会大相径庭,暴击爆伤等仅仅能解释单个角色的输出,但无法解释不同角色的输出。
持续输出,不仅仅与时间伤害流量有关,还与空间伤害流量有关。空间伤害流量也可以叫做输出空间。不难发现,一个良好的C位需要具备的条件是:具有良好的输出倍率(可以看作是时间伤害流量),同时也必须具有良好的输出空间(空间伤害流量)。
曾经有玩家利用木桩测试,表明凝光dps>卢姥爷dps。然而该玩家出现了一个巨大的问题,即忽略了伤害场的类型(单点伤害场与体型伤害场)。同理,认为刻晴重击没有卢姥爷普攻高也是忽略了伤害场的类型(瞬时伤害场与持续伤害场)。
单点伤害场,即衰减伤害场,是随着伤害范围内怪的数目增加而减少的伤害场,以反比例衰减,衰减速度极快。所以一旦场内具有的怪物数目≥2,其衰减度就为50%+。
空间伤害场,即非衰减伤害场,其特点是造成的伤害不随怪物数目减少而减少,空间伤害场越大,伤害在该场内的积分也就越多。(如卢姥爷的大招范围和胡桃大招范围来讲,卢姥爷对群体分散敌人有更好的把控,同时体型伤害场输出效率大于面型伤害场,放空率也大幅度减小)
即:空间伤害场大的角色更适合于打大范围分散型敌人。
瞬时伤害场:可以看作是伤害爆发,猴戏便是充分利用之。
持续伤害场:即平稳伤害。
即:对于能秒杀的大佬,瞬时伤害场更好,但对于绝大多数玩家,需要利用的是持续伤害场。之前产生公子不行的误解即是没有两种场的概念所导致。
输出流量应综合应用于时间与空间两大伤害场。当两大伤害场重叠后,则是综合输出流量。
即:判定一个C位的能力需要综合考虑输出倍率与输出空间。然而目前仅仅处在定性化阶段。
C位判定举例(优先选择不指出对单对群的):
1、胡桃具有极高的倍率与攻击,时间伤害场巨大(4),但其空间伤害场较小(1)。
2、卢姥爷具有极大的空间伤害场(3),但其时间伤害场较小(1)。
3、甘雨具有巨大的时间伤害场(4),且具有大的空间伤害场(2)。
4、刻晴具有大的时间伤害场(2),具有极大的空间伤害场(3)。
5、公子对群具有巨大的时间伤害场(4),具有大的空间伤害场(2)。
6、凝光对单具有巨TM大的时间伤害场(5),具有巨大的空间伤害场(4)。
7、行秋对单具有极大的时间伤害场(3),具有极大的空间伤害场(4)。
目前,将前后两个定性值加起来即可得到该C位的输出流量。(反应仅仅加在时间伤害场)
战斗型辅助位判定举例:
1、班尼特能够增加时间伤害场密度。
2、温迪等风系角色能够增加空间伤害场密度。
3、钟离能够增加时间伤害场密度,同时控制空间伤害场中排布。
优先选择能够简易增加场密度的辅助位。特别是空间场。(如甘雨与温迪配合后,由于空间场坍缩导致大招变为巨大空间场覆盖)
几大乘区均属于时间场的范围内,即时间场重叠与输出倍率有关。几大乘区越接近,其输出判定越高。由于对该场的研究与探讨较多,故请自行查阅资料。在此,将主要说明空间场。
关于空间场重叠,可以看作是不同维度的向量和达到最大值(而非如乘区一般的乘积)。故重叠方案需要谨慎考虑。一般而言,要保证队伍四个人皆有场的存在,同时场需要重叠(比如初始高度为M,高度为A的体型场和高度为0的面型场无法重叠,典例即是温迪和魈),这涉及到“配伍参数的设计”,该设计目前还是个设想。
故:涉及到“场”的必须考虑到场重叠问题。场有效重叠是伤害流量增加的必要条件。下面给出几类推荐的空间场:
体型场+体型场+体型场+体型场
体型场+体型场+体型场+单体场
面型场+面型场+面型场+面型场
面型场+面型场+面型场+单体场
非吸入型体型场+面型场+面型场+单体场
将空间场和时间场完美结合起来,最后也就是达到了统一场,伤害相对论也就解决了
