《怪物猎人世界》中玩家可以自由客制武器的效果,但是在强化和会心属性的选择上,不少玩家都拿不定注意,下面请看由“两仪双月”带来的《怪物猎人世界》客制强化选择与超会心收益分析,希望能帮到大家。

吾令丰隆乘云兮,求宓妃之所在。
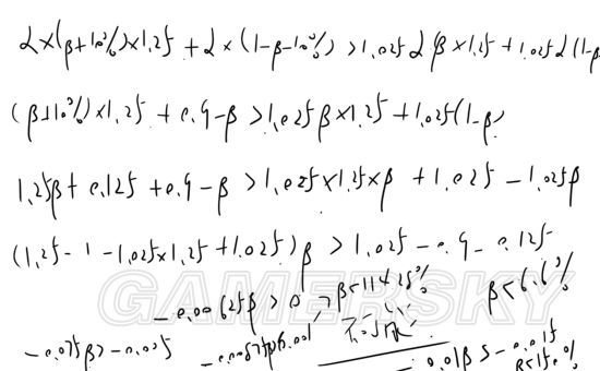
强化攻击力加2.5%的伤害或者强化10%会心,很多人可能会来回纠结。
数据党告诉你。其实关系到一个超会心问题。如果超会心0,选择强化10%会心输出期望必定低于选择2.5%伤害。选择超会心1,会心低于6.6%的武器,输出期望会高于选攻击,但我不信有人不用弱特。
然而到了超会心2,只要会心低于114.28%,选多10%会心伤害期望都会高于选攻击。超会心3就不说了,低于150%。
所以,前期辣鸡6星武器没有超会心情况下,请全部选攻击。有超会心2甚至3,全部选会心。
且超会心要么不出,要出就出2以上,收益非常高。超会心1的收益其实也不错。总之看不懂不要紧,只要知道超会心2很强,超会心3更强就行了。千万别只出一个超会心。然后武器客制一律选会心、会心、会心。


