《原神》中伤害是由多个输出词条计算得出的,那么暴击爆伤以及攻击属性该如何搭配呢,下面请看“”带来的《原神》输出词条配比分析,希望能够帮助大家。
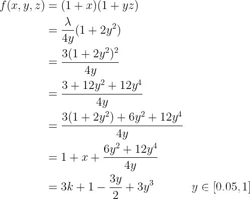
由于本帖只分析角色攻击、暴率和暴伤的培养,所以只截取期望伤害公式的一部分: 面板攻击x(1+暴率x暴伤)
首先,是对公式的调整,面板攻击x(1+暴率x暴伤) = (白字攻击+绿字攻击)x(1+暴率x暴伤) = 基础攻击(白字攻击)x(1+百分比攻击)x(1+暴率x暴伤)
为了方便计算,这里把一些固定攻击加成(比如小攻击,羽毛主词条等)统一转换为百分比攻击加成,由于基础攻击仅与角色自身和武器有关,所以在角色和武器不变的情况下,可进一步省去,最终调整为(1+百分比攻击)x(1+暴率x暴伤)
由于原神中角色属性有上限,这上限取决于角色本身、武器、圣遗物以及一些其他实战buff加成,这导致分配在百分比攻击、暴率、暴伤上的属性有限,所以如何分配这三种属性,使得(1+百分比攻击)x(1+暴率x暴伤) 的值最大,是我们在培养上要考虑的问题
首先建立函数,设百分比攻击为x,暴率为y,暴伤为z,则有

半窗幽梦微茫,歌罢钱塘,赋罢高唐。
考虑到圣遗物的词条产出比,百分比攻击:暴率:暴伤 = 3:2:4,得到约束条件:

这里可以从属性点的角度来理解,1点属性点能加3%攻击、2%暴率或4%暴伤,而k则是分配在这三种属性上的属性点总和(一般与寿命成反比)
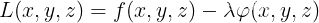
根据拉格朗日乘数法,设

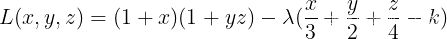
由拉格朗日函数:

得到:

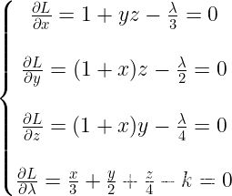
L分别对x, y, z, λ求偏导,得到方程组:

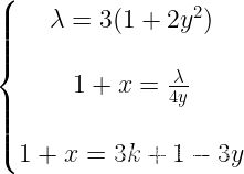
由2、3式可得:

这得出我们一条常见的结论:暴率 : 暴伤 = 1 : 2,结合上式,由1、3、4式可得:

代入到f(x, y, z)中:

显然

这得出一个很有意思的结论,如果角色暴率小于70.7%(暴伤小于141.4%),那么期望伤害可能会存在属性亏损的情况
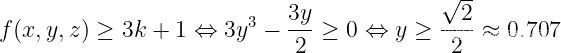
那么,此时百分比攻击应该是多少呢?结合前面的式子可得:

当暴率为70.7%时,百分比攻击为112.1%,当暴率为100%时,百分比攻击为125%,以鸟枪魈为例,2304攻,100%暴率,200%暴伤,够变态了吧
总结一下,如果从期望伤害的角度去培养角色,那么:
1. 暴率 : 暴伤 = 1 : 2
2. 暴率至少达到70.7%(注意此暴率是指实战暴率)
如果不追求期望伤害,而追求最大伤害,也能用上述方法推导,这里我就直接给结果了:

有兴趣的话,可以自己推导
最后,最重要的一点,选择面板属性,一定要优选考虑k值大的,毕竟k值决定伤害的上限。
