《原神》的大攻击与双爆属性的影响有不少玩家对其收益都不是很了解。下面就为大家带来由“青笠.”分享的《原神》大攻击与双爆堆加收益分析,一起来看看吧。
不想看过程的可以直接略过,看最后的表格即可
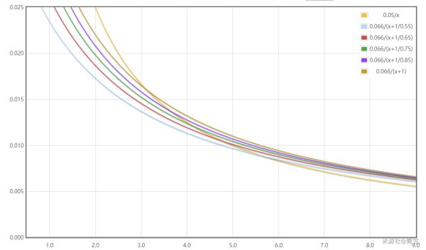
我们假设基础攻击力为a,总攻击为基础攻击力x倍即ax,此时圣遗物加一次大攻击的收益实际为0.05/x。假设爆率为b,爆伤为x,此时增加一次爆伤收益为0.066/(x+1/b)(具体过程就不写了,想了解的可以回复)
以爆率55%/65%/75%/85%/100%为例,得到下图

若比广陵花,太亏他。
1.攻击力与暴伤同样存在稀释,到最后两者收益非常接近
2.前期攻击力收益高于暴伤,后期低于暴伤
3.暴伤的收益与暴率有关,暴率越高,则暴伤收益越高
再把图放大一点,
总攻击在3倍基础攻击之前,同样倍率下增加一次攻击的收益一定高于暴伤;约6倍基础攻击之后,开始低于暴伤收益

由此可以得到第一个结论
总攻击在3倍基础攻击之前,收益都很高;在6倍之后则明显低于暴伤,收益较低.
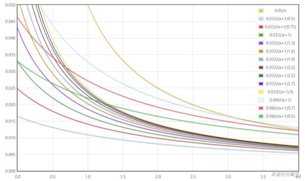
同理可得暴率的收益公式0.033/(x+1/暴伤),并放到同一张图上

由图可得出双暴和攻击的大概优先级(默认暴伤高于100%)
1.暴率<50%,则属性优先级为 暴率>攻击>暴伤
2.暴率50-75%。攻击力<300%,暴率>暴伤=攻击;攻击力>300%,暴率>暴伤>攻击
3.暴率75-100%。攻击力<300%,暴伤≥暴率≥攻击;攻击力>300%,暴伤≥暴率>攻击
基于上述公式,推算出不同暴率下,攻击力与暴伤极限值
如下表,蓝色区为暴伤极限值;若超过此极限值,则暴伤收益低于攻击
注:表格内攻击,双暴均为实战属性,包含常驻buff


由表格数据可以得出
暴伤上限由攻击力和暴率共同决定。攻击力不变,暴率越高,则暴伤上限越高;同样的暴伤上限,暴率越低,攻击力上限则越高
可以直接参照表格得出自己的目标属性
比如我希望达到75暴率200暴伤,则攻击力最高可达250%基础攻击力;如果我是65暴率250暴伤,则攻击力最高可以到300%基础攻击力;如果75暴率、250%攻击,暴伤最高可到196.7%
