《戴森球计划》在最近的更新中改变了原有的油井产量,新版本中油井产量是如何变化的呢,下面请看“端字辈”带来的《戴森球计划》新版本油井半衰期计算,希望能够帮助大家。
研究这个问题其实并不难,我们只要找到所谓“矿物储量”关于时间的关系式即可
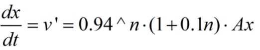
首先设好需要的变量:设某油井矿物储量为x,矿物等级为n,油井产速为v=Ax,其中A是待定的系数.
我们知道,矿物等级为n时,开采速率有1+0.1n倍的加成,矿物损耗为0.94^n
于是乎,采油带来的油矿损耗为v‘=0.94^n*(1+0.1n)*Ax
这样的话,我们就不难列出微分方程如下:

重以桑梓念,凄其江汉情。
解得:

如果你想问c是哪里来的可以看看ode相关内容,反正这里不重要
好的,既然如此我相信各位能搞出半衰期t0的等式了,也就是:

如果不会的话,留作习题
这样我们就只要搞定待定系数A了,找个数据就行了
最方便的莫过于0级的12h了(这里我略去了单位转换,稍加思考也晓得为啥能这么办)
所以解得A=ln(2)/12,也就是说:

嗯,然后我目前的新档进度仅到黄糖,矿物点了两级,游戏内显示半衰期是11.32h
利用上述公式算出来的结果为约11.317h,我相信它没问题

顺带一提,以前因为磁石的问题写过matlab程序估计啥时候该开始用磁石
所以我能得到,从5级开始点只矿物,消耗的油的总量收敛于163w
可能可以找到一个量,油井的初始速率超过这个量后,不用管它,一直点矿物就能无限点
我现在暂时估计出的量是:26.1 /s,当然这是你的油仅仅用来生产塑料的情况
而且我不保证这个答案正确,记得注意考虑传送带运力不够的问题哦。
